Algorithm (PS)
[프로그래머스] 행렬의 곱셈 Swift - 구현/선형대수학
minjiwoo
2022. 12. 14. 23:55
728x90
https://school.programmers.co.kr/learn/courses/30/lessons/12949
프로그래머스
코드 중심의 개발자 채용. 스택 기반의 포지션 매칭. 프로그래머스의 개발자 맞춤형 프로필을 등록하고, 나와 기술 궁합이 잘 맞는 기업들을 매칭 받으세요.
programmers.co.kr

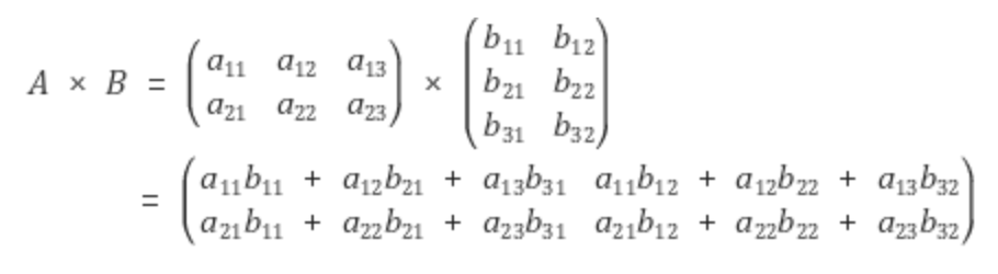
행렬의 곱은 (n*k) 사이즈 행렬과 (k*m) 사이즈 행렬이 곱해졌을 때 (n*m) 크기의 행렬을 리턴한다는 특징이 있다
import Foundation
func solution(_ arr1:[[Int]], _ arr2:[[Int]]) -> [[Int]] {
let n = arr1.count // 세로
let m = arr1[0].count // arr1 가로 == arr2 세로
let t = arr2[0].count // arr2 가로
var answer = Array(repeating: [Int](), count:n)
// 결과 값 크기는 n * t 의 행렬이 된다.
for i in 0..<n {
for j in 0..<t {
var value = 0
for k in 0..<m {
value += arr1[i][k] * arr2[k][j]
}
answer[i].append(value)
}
}
return answer
}
728x90